(Dalpha) Gobro - Optimization of Fruit Order Quantity (progressing)
Data
stockhistory_search data
- Date
- Branch
- Product name
- Description
- In
- Out
- value
- negative: Out (Sold)
- positive: In (Order)
- Reason of value
reqhistory_search
- Date
- Branch
- Product name
- Order quantity
- Unit price
- Total price
- Receiving day
Visualization
Orange one is the total order quantity. And Blue one is the total sales volumes.

Their sales volumes look like a random walk, being similar with a stock price.
Hypothesis
- It is impossible to predict with no-error. Nevertheless it can do, it is more effective to focus on an another part.
- A prediction model should be robust to short-period data (all of the client's data is less than 90 days.) So, I think classical model would be better than any other fancy models.
Research models
Candidates
- Time Series LLMs
- ML models
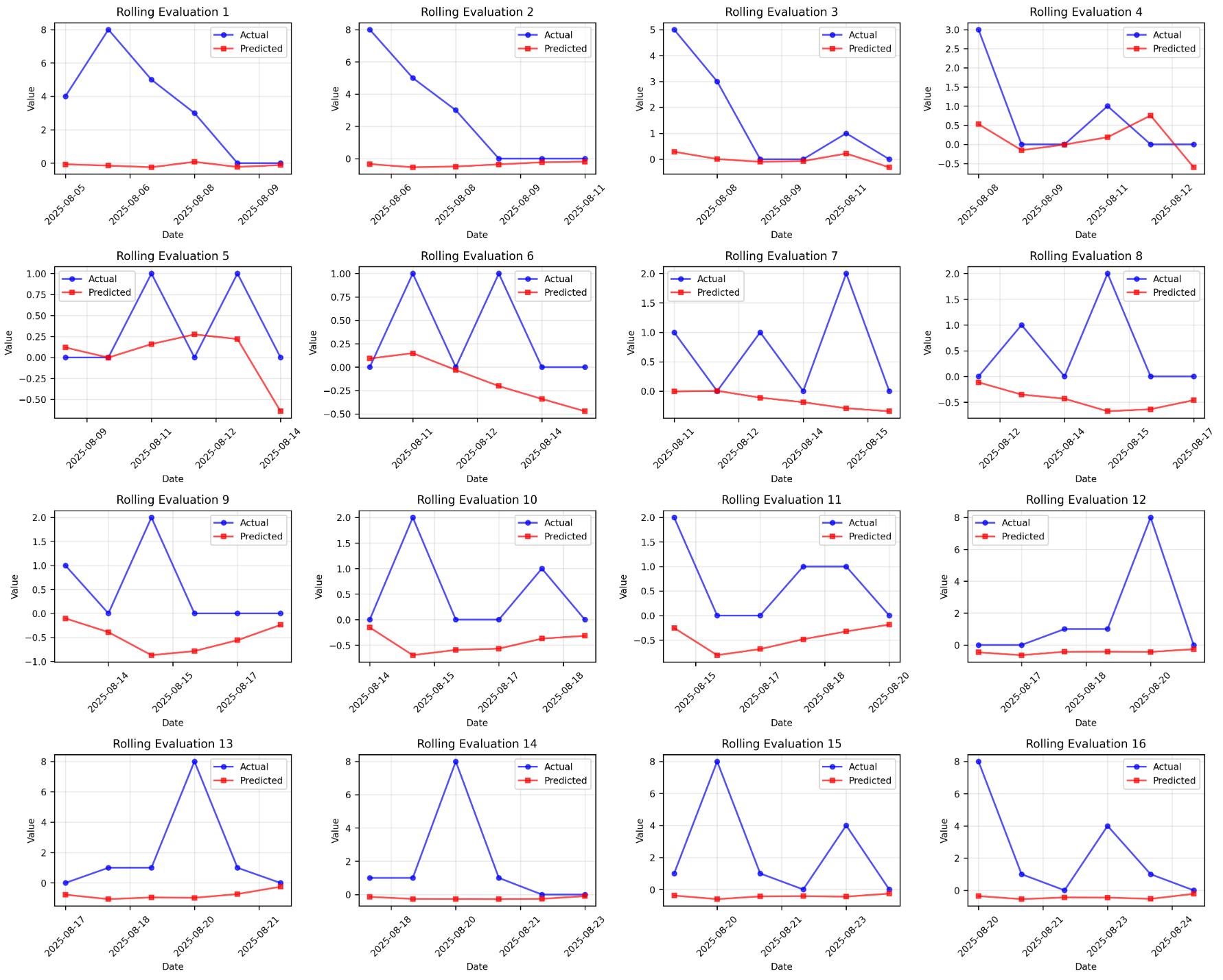
First, I compared ML models, Prophet and LightGBM. There are a lot of models but I chose these 2 models. Since I didn't have much time to research, I did a naive experiment, identifying the metrics, MAE and RMAE. I couldn't find results comparing them before, but only kept the visualization of Prophet's prediction.

Prophet showed an error persentage of less than 20%. I thought it was sufficient. Next, I compared it with TimesFM for 3 branches. Simultaneously, I compared hourly and daily predictions.
Branch 1
Prophet
daily

- MAE: 1.63
- RMSE: 2.8
hourly

- MAE: 1.62
- RMSE: 2.27
TimesFM
daily

- MAE: 2.01
- RMSE: 2.57
hourly

- MAE: 1.68
- RMSE: 2.81
Branch 2
Prophet
daily

- MAE: 7.17
- RMSE: 8.47
hourly

- MAE: 6.57
- RMSE: 8.22
TimesFM
daily

- MAE: 5.36
- RMSE: 6.37
hourly

- MAE: 5.55
- RMSE: 7.38
Branch 3
Prophet
daily

- MAE: 3.67
- RMSE: 4.45
hourly

- MAE: 1.60
- RMSE: 2.17
TimesFM
daily

- MAE: 2.06
- RMSE: 2.55
hourly

- MAE: 2.38
- RMSE: 3.24
Conclusion
- No matter what model was used, hourly predicting was better in terms of the metrics and also the qualitative graph assessment.
- Prophet showed robustness to noise. Branch 3 had severe noise before the evaluation time so that both TimesFM and the Daily prediction of Prophet produced poor results. Besides, hourly prediction of Prophet is quite robust.
-> I selected the Prophet model and hourly prediction.
(still progressing)